Jawaban Lks Sejarah Kelas 11 Semester 1
Kunci jawaban pr lks intan pariwara kelas 11 xi semester 1 2019 2020 pdf buku pr lks intan pariwara adalah buku pelajaran yang berisi ringkasan materi. Jawaban dari surat diatas disambut dengan senang hati.
Lks Sejarah Kebudayaan Islam Khazanah Kelas 5 Shopee Indonesia
Kumpulan kunci jawaban soal tuntas lks pdf gratis kali ini tuntas yang saya miliki hanya semester ganjil yang bisa anda download via indowebter secara gratis disini karena saya bukan pendidik maka saya akan berikan apa yang mau saya berikan berhubungan dengan silabus dan tuntas walaupun membeli lks akan lebih murah daripada ngeprint soal ini semua terserah anda saya hanya memberikan data.

Jawaban lks sejarah kelas 11 semester 1. Raden wijaya kemudian diberi hutan tarik. Selain materi pelajaran yang disajikan secara lengkap namun padat juga banyaknya latihan soal yang diberikan per kd. Ringkasan sejarah materi kelas xi semester 1.
Kunci jawaban lks intan pariwara kelas 10 11 12 semester 2 tahun 2020 2021 buku pr intan pariwara adalah buku lembar kerja siswa atau lks yang sangat komplit menurut guru dan siswa. Tahun pelajaran 2019 2020 semester 1 pihak penerbit terakhir kali memberikan kumpulan kunci jawaban semua mapel untuk buku pr intan pariwara. Sharing berkas dan pembelajaran guru paud tk ra.
Kunci jawaban buku pr lks intan pariwara kelas 11 tahun 2020 2021 dalam kesempatan kali ini saya ingin menyampaikan hal yang tentunya dipertanyakan banyak orang yaitu tentang file pdf pembahasan soal dan kunci jawaban buku pr intan pariwara. Download kunci jawaban lks pr intan pariwara kelas xii di kurikulum 2013 memang penggunaan lks sudah jarang dan sudah dikurangi namun masih ada sekolah yang menggunakan lks untuk membantu mempermudah pembelajaran siswa. Pada postingan kali ini saya akan membagikan kunci jawaban lks intan pariwara kelas 11 semester 1 tahun ajaran 2019 dan 2020 dimana kunci jawaban ini telah di revisi oleh k 13 jadi lebih membantu teman teman dalam menjawab soal dan juga bisa menjadi pegangan guru.
Silakan hubungi nomor ini 087 777 721 998 trmksh. Saya mau infokan bahwa siapa saja yang mau kunci jawaban untuk buku intan pariwara kelas 10 maupun kelas 11 semseter 1 dan semester 2 untuk buku intan pariwara terbitan terbaru maupun lama. Desa itu dinamai majapahit.
Ia membuka hutan itu dan membangun desa baru. Walaupun hanya ringkasan namun isinya sangat padat dan merujuk ke poin poin materi pelajaran. Tanpa berlama lama lagi berikut adalah kunci jawaban lks intan pariwara kelas 11 semester 1 ada mata pelajaran wajib mata pelajaran peminatan mipa dan peminatan ips.
Kerajaan medang akhirnya runtuh pada awal abad ke 11.
Copy Kunci Jawaban Lks Bahasa Indonesia Kelas 789 Smp Semester 1 Khusus Pegangan Guru Kurikulum 2013 Shopee Indonesia
Kunci Jawaban Lks Ekcellent Sejarah Kelas Xii Ipa
Buku Pendamping Ppkn Smp Mts Kelas 7 Kunci Jawaban Incer Shopee Indonesia
Kunci Jawaban Lks Intan Pariwara Kelas 11 Semester 1 2020
Belajar Soal Uas Ski Kelas 7 Mts Semester 1 Beserta Kunci Jawaban Sejarah Kebudayaan Islam 7 Youtube Belajar Sejarah Beruas
Buku Pegangan Guru Soal Kunci Pr Sejarah Indonesia Wajib Kelas Xi Semester 1 K13 Revisi Shopee Indonesia
Jawaban Lks Fisika Kelas 12 Semester 1 Guru Ilmu Sosial
Kunci Jawaban Lks Viva Pakarindo Kelas 11 Semester 2 Kurikulum 2013 Tahun 2020 Guru Ilmu Sosial
Kunci Jawaban Sejarah Kelas 12 Guru Ilmu Sosial
Kunci Jawaban Lks Sejarah Kelas 10 Semester 2 Kurikulum 2013 Guru Ilmu Sosial
Lks Bahasa Indonesia Kelas 11 Semester 1 Guru Ilmu Sosial
Kunci Jawaban Sejarah Indonesia Kelas 11 Semester 1 Guru Ilmu Sosial
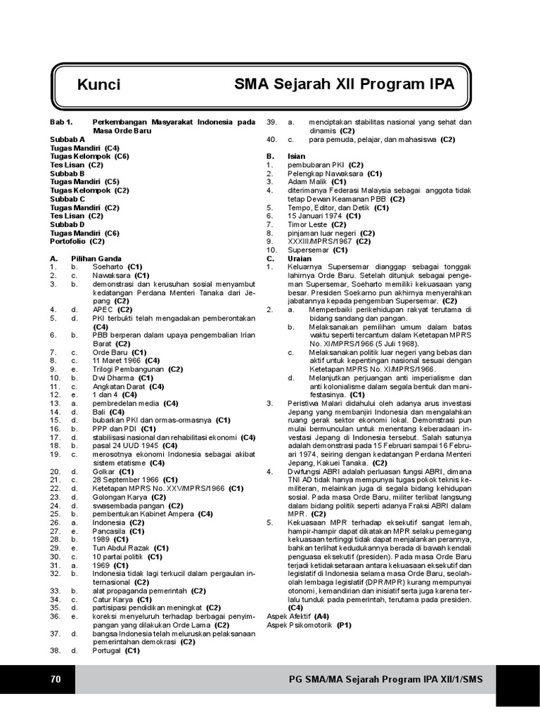
Kunci Jawaban Lks Sejarah Indonesia Kelas 12 Semester 1 Seputar Sejarah
Jawaban Lks Bahasa Inggris Kelas 11 Semester 2 Guru Ilmu Sosial
Kunci Jawaban Sejarah Kelas Xi Kurikulum 2013 Guru Ilmu Sosial
Kunci Jawaban Lks Bahasa Indonesia Kelas 12 Guru Ilmu Sosial
Kunci Jawaban Lks Sejarah Kelas Xi Kurikulum 2013 Seputar Sejarah
Kunci Jawaban Lks Penerbit Viva Pakarindo Guru Ilmu Sosial

Tidak ada komentar untuk "Jawaban Lks Sejarah Kelas 11 Semester 1"
Posting Komentar