Soal Bahasa Indonesia Gagasan Pokok
Jadilah blogger kreatif dengan tidak melakukan copy paste dan mempublish ulang. Dari tahun ke tahun soal jenis ini selalu tampil dengan berbagai paragraf baru yang tak jarang membuat peserta un terkecoh.
Jawab Pertanyaan Adalah Carilah Gagasan Pokok Paragraf Kedua Brainly Co Id
Petunjuk penggunaan barang 17.

Soal bahasa indonesia gagasan pokok. Gimana persiapanmu untuk menghadapi seleksi bersama masuk perguruan tinggi negeri sbmptn 2019. Ide pokok atau gagasan utama 16. Terdengar suara tangisan bayi.
Contoh soal bahasa indonesia menemukan pokok pokok berita jasa pembuatan administrasi bpbk di sekolah dan ptkbk hubungi kami di 0. Daftar isi 1 1 soal i 2 jawab. Untuk membantumu kali ini quipper blog akan memberikan beberapa contoh soal terkait materi pelajaran bahasa indonesia yakni gagasan utama dan simpulan teks.
Itulah penjelasan mengenai soal mencari ide pokok dan kami sajikan lima belas soal tentang mencari ide pokok. Membaca seluruh paragraf dengan cermat kemudian mencari kalimat utama atau topik 2. Gagasan pokok paragraf tersebut adalah.
Andi dwi handoko seorang guru di sd ta mirul islam surakarta. Gagasan pendukung kalimat tambahan yang menjelaskan gagasan pokok. Menentukan gagasan utama merupakan salah satu soal yang bisa dibilang wajib tampil di soal un mata pelajaran bahasa indonesia.
Aku menjenguk tante di rumah sakit b. Wednesday april 29 2015 soal dan kunci jawaban bahasa indonesia kelas 4v sd semester 2 ta 20142015 i. Semoga bermanfaat dan menjadi lebih paham materi ide pokok pelajaran bahasa indonesia.
Kalau belum quipper blog akan bantu kamu biar bisa lulus ke kampus impian. Gagasan pokok dan pendukung dari cerita suku minang paragraf 1 3. Web viewkunci jawaban soal bahasa indonesia wonokromo jawaban c menentukan ide pokok teks unbk bahasa indonesia kelas 9 pengembangan buku pengayaan menemukan gagasan utama wacana berbasis.
Soal 2 4 jawab. Pada kalimat utama 5. Poster kunci jawaban room iii 1.
Soal soal bahasa indonesia menentukan gagasan p okok jasa pembuatan administrasi bp bk di sekolah dan ptk bk hubungi kami di 081222940. Sebelum melanjutkan dengan pengumpulan pertanyaan untuk menemukan ide utama imagination.
Tentukan Gagasan Pokok Setiap Paragraf Dalam Kutipan Buku Tersebut Brainly Co Id
Tentukan Gagasan Utama Pada Teks Wayang Kelas 10 Pada Buku Paket Bahasa Indonesia Edisi Revisi 2016 Brainly Co Id
A Secara Berdiskusi Tentukan Gagasan Pokok Pada Teks Berikut Brainly Co Id
Gagasan Pokok Tps Bahasa Indonesia Quipper Blog
1 Tuliskan Kalimat Utama Pada Setiap Paragraf2 Tuliskan Gagasan Utama Pada Setiap Brainly Co Id
Contoh Soal Un Bahasa Indonesia Smp Pk1 Dan Pembahasannya
Gagasan Utama Dan Gagasan Penjelas Dari Teks Pembangunan Dan Bencana Alam Lingkungan Setiap Brainly Co Id
Pertannyaan1 Tuliskan Gagasan Pokok Setiap Paragraf Brainly Co Id
4 Berdasarkan Letak Gagasan Utamanya Teks Tersebut Termasuk Jenis Paragraf A Ineratifb Brainly Co Id
Tuliskan Gagasan Pokok Pada Bacaan Diatas Brainly Co Id
Menentukan Ide Pokok Dan Gagasan Utama Sebuah Paragraf Youtube
Tolong Bantu Jawab Ya Carilah Gagasan Pokok Dan Gagasan Pendukung Pada Setiap Paragraf Di Teks Brainly Co Id
Gagasan Pokok Setiap Paragraf Dalam Tabel Brainly Co Id
1 Tuliskan Kalimat Utama Kalimat Penjelas Dari Paragraf Tersebut 2 Tulisan Gagasan Pokok Dan Brainly Co Id
Blog Pendidikan Contoh Soal Gagasan Pokok Dan Gagasan Pendukung
Contoh Soal Ide Pokok Paragraf Kumpulan Soal Pelajaran 5
Gagasan Pokok Adalah Pokok Masalah Yang Mendasari Cerita Yang Bersifat Abstrak Bahasa Indonesia
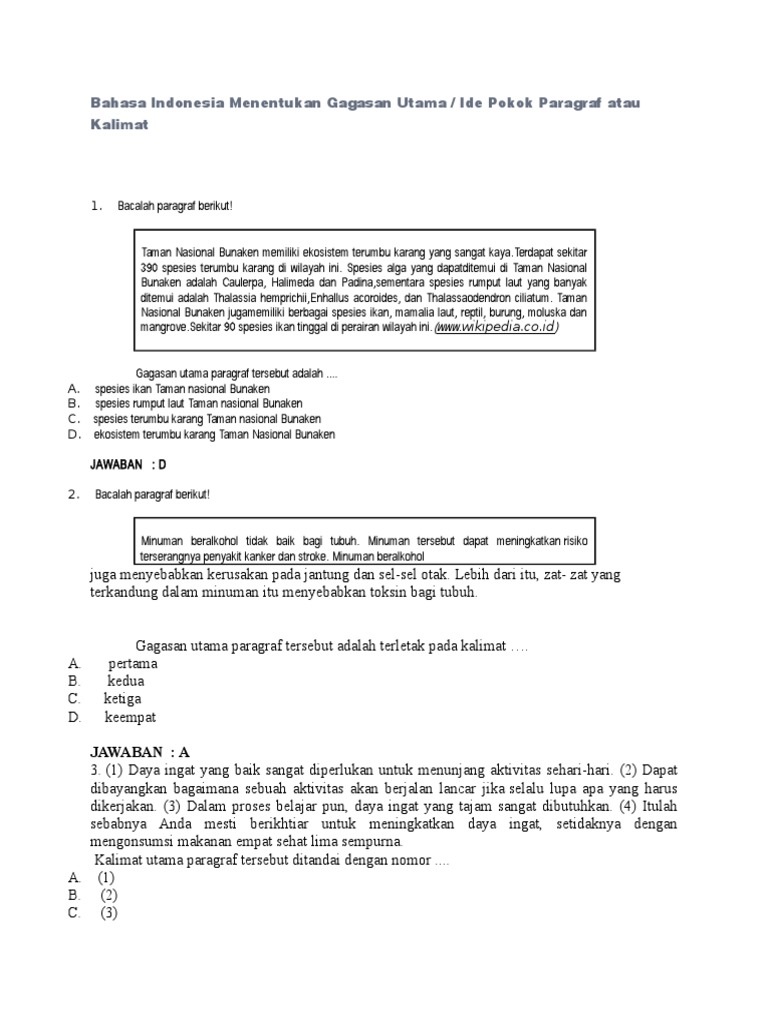
Kumpulan Soal Bahasa Indonesia Menentukan Gagasan Utama
Apa Yang Dimaksud Gagasan Pokok Dan Gagasan Pendukung Brainly Co Id
Tidak ada komentar untuk "Soal Bahasa Indonesia Gagasan Pokok"
Posting Komentar