Laporan Hasil Kegiatan Sdidtk Di Tk

Jenis kegiatan sdidtk ada 3 jenis kegiatan yang dapat dilaksanakan oleh tenaga kesehatan di tingkat puskesmas dan jaringannya berupa depkes 2006. Save save laporan hasil sdidtk for later.

Laporan Hasil Sdidtk

Deteksi dini penyimpangan pertumbuhan deteksi dini penyimpangan pertumbuhan yaitu untuk mengetahui menemukan status gizi kurang buruk dan mikro makrosefali.

Laporan hasil kegiatan sdidtk di tk. 0 ratings 0 found this. Kegiatan itu mulai dari merencanakan melaksanakan menilai menganalisis hasil melakukan refleksi dan membuat tindak lanjut bagi kegiatan mengajar berikutnya. Pemerintah kota banjarmasin dinas kesehatan puskesmas 9 nopember jalan keramat raya no 02 rt 02 telpon 0511 3254509 email.

Kegiatan sdidtk dilakukan di fasilitas pelayanan kesehatan milik pemerintah maupun swasta seperti puskesmas dan jejaring ukbm polindes poskesdes posyandu klinik praktik bidan madiri balai kesehatan ibu dan anak serta rumah sakit dan fasilitas di luar kesehatan seperti kelompok bina keluarga balita bkb taman pengasuhan anak tpa dan sarana pendidikan paud dan tk ra. Laporan hasil kegiatan posyandu 2016 docx. Namun tidak jarang peserta kegiatan akan diminta membuat laporan hasil.

Pelaksanaan sdidtk dilakukan oleh tenaga kesehatan dan tenaga bukan kesehatan yang telah mendapat pelatihan atau. Mendorong terciptanya masyarakat yang lebih sadar akan pentingnya pendidikan. Meningkatkan kecerdasan umum dan membangun karakter anak.

Mempererat hubungan antar universitas bina nusantara dengan sekolah sekolah di jakarta. Pelayanan mtbs di puskesmas tetap dilayani. Kegiatan sdidtk siswa paud tk berjalan dengan pengisian kuesioner google form oleh guru dan orangtua siswa 6.

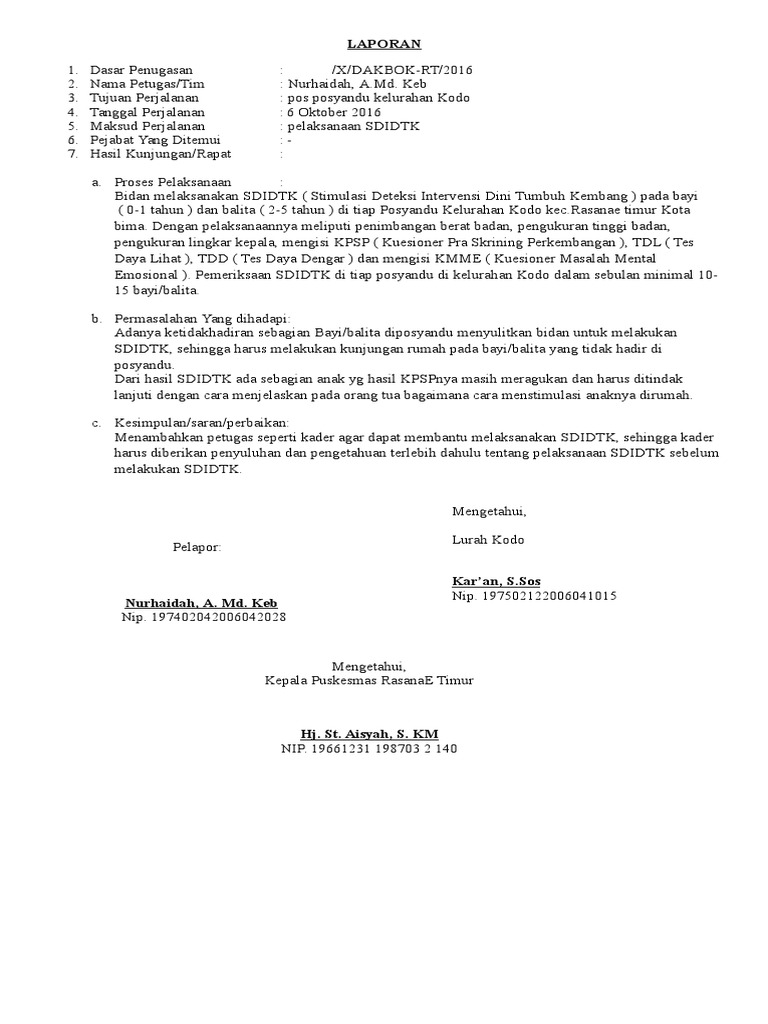
Laporan tersebut berfungsi sebagai bentuk tanggung jawab sekaligus bukti bahwa seseorang sudah mengikuti kegiatan. Dari hasil sdidtk ada sebagian anak yg hasil kpspnya masih meragukan dan harus ditindak lanjuti dengan cara menjelaskan. Dalam konteks formal karena kelompok melakukan kegiatan mengajar di sekolah tk dharma pancasila maka kegiatan mengajar normalnya dilakukan oleh guru.

9 contoh laporan hasil kegiatan lengkap dan terbaru mengikuti kegiatan yang diadakan sekolah kampus organisasi dan suatu institusi pastilah menyenangkan. Sehingga harus melakukan kunjungan rumah pada bayi balita yang tidak hadir di posyandu. Pendahuluan pembangunan kesehatan merupakan bagian dari upaya membangun manusia seutuhnya.

Kegiatan sdidtk balita terintegrasi dengan bunda kumala dan laporan manual oleh kader 5. Dengan kegiatan belajar mengajar ini kami mempunyai tujuan yang diharapkan dapat tercapai yaitu. Email protected kode pos 70239 b masin kerangka acuan kegiatan stimulasi deteksi intervensi dini tumbuh kembang balita dan anak pra sekolah a.

Scribd es red social de lectura y publicación más importante del mundo.

Contoh Laporan Sdidtk Feb 2017

Hasil Sdidtk Tk Anfal Al Hidayah Docx

Laporan Kegiatan Peningkatan Wawasan Tentang Sdidtk Puskesmas Kelurahan Penggilingan I Elok Tahun 2017

Laporan Kegiatan Sdidtk Di Posyandu Paud Tk Nama Posyandu Paud Sdidtk Puskesmas Tanggal Kegiatan Pemeriksaan

Hasil Sdidtk Tk Anfal Al Hidayah Docx

Lap Sdidtk Apr 15

Laporan Ddtk 2016 Docx


Tidak ada komentar untuk "Laporan Hasil Kegiatan Sdidtk Di Tk"